Integration Guidance
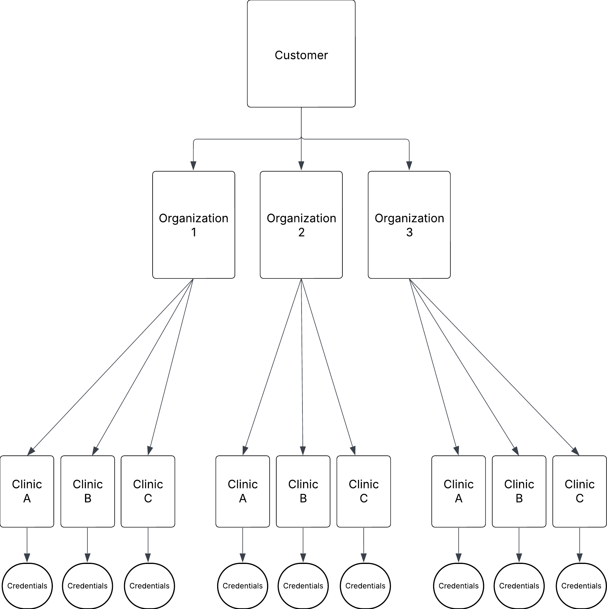
Integrating with Zuub IV ensures the flexibility of different organizational structures, allowing efficient and automated insurance verification requests. This is achieved through the secure storage and maintenance of a clinic's payer portal credentials. By using the endpoints, create the appropriate Organization and Clinic structure to represent the company or customers. Within each Clinic, can create, validate, store, and maintain Credentials, as well as access them for asynchronous IV requests.

Asynchronous insurance verifications are recommended and require payer portal credentials ("Credentials").

Credentials (username and password) can be created and securely stored and managed in Zuub for a clinic, then retrieved for IV requests.

- Using
customerId(provided by Zuub) to create organization, which returnsorganizationId - Using
organizationId, create clinic, which returnsclinicId - Use List Payer Network to discover the payer's automation capabilities and requirements:
- Identify the
portalIdfrom the portal requirements - Review all requirements to understand what additional information is needed beyond portal credentials
- Check for credential storage requirements such as:
- Office name, address, or tax ID
- Provider or organization NPIs
- Provider first and last names
- Identify the
- Collect all required information identified in the requirements array before proceeding:
- Portal credentials (username and password)
- Office information (name, address, suite number, tax ID) if required
- Provider information (first name, last name, NPI) if required
- Organization NPI if required
- Skip to 6 if MFA is not required. For any payer portal requiring MFA,
- Using
portalId, create payer portal registration, which returnsemailandphoneNumber - Navigate to the payer portal, create the account using the
emailandphoneNumberprovided
- Using
- Using
clinicId,portalId,email,phoneNumber, and any additional required information, store (create) payer portal credentials
For more information on navigating payer portals and creating accounts, click here.
Troubleshooting
422 Error
If you receive a 422 error (Request Validation Failed) on a request, please validate your request against the schema using a schema validator, such as JSON schema validator.
500 Internal Error
Contact Zuub Support with the correlationId for the request.